Study

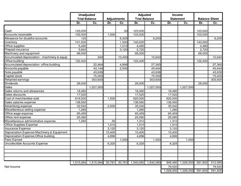
Adjusted Trial Balance

Adjusted Trial Balance

In the complex world of accounting, the journey from raw transaction data to meaningful financial statements is a structured process designed to ensure accuracy and transparency. At the heart of this process lies the Adjusted Trial Balance, a critical document that bridges the gap between the initial ledger entries and the final preparation of financial reports. For business owners and accounting professionals, understanding this bridge is essential for ensuring that every penny, accrual, and depreciation expense is accounted for correctly before the books are officially closed for a period. Without this vital step, financial statements would fail to reflect the true economic reality of an organization, potentially leading to misguided strategic decisions and compliance issues.

What is an Adjusted Trial Balance?

The Adjusted Trial Balance is an internal document that lists all the general ledger account balances after adjusting journal entries have been recorded at the end of an accounting period. Essentially, it serves as a "final check" before a company compiles its balance sheet and income statement. While the initial (or unadjusted) trial balance captures transactions that occurred during the period, it often misses internal events like the passage of time, the consumption of assets, or obligations that have been incurred but not yet invoiced.

By integrating these adjustments—such as accruals, deferrals, and estimates—the Adjusted Trial Balance ensures that the principle of accrual accounting is strictly followed. This ensures that revenues are recognized when earned and expenses are matched to the period in which they helped generate those revenues, providing a precise snapshot of a company’s financial health.

Why the Adjusted Trial Balance is Essential for Financial Integrity

The transition from an unadjusted trial balance to an Adjusted Trial Balance is not just a bookkeeping formality; it is a fundamental requirement for accurate financial reporting. Consider the following benefits:

  • Compliance with Accrual Accounting: It ensures that the financial data adheres to the matching principle.
  • Detection of Errors: By verifying that total debits equal total credits, it helps accountants spot imbalances caused by recording errors before they reach the financial statements.
  • Refined Financial Insights: It provides a clear view of true liabilities (like wages payable) and assets (like prepaid insurance), preventing the overstatement or understatement of net income.
  • Audit Readiness: A well-prepared Adjusted Trial Balance provides a clear audit trail, making it much easier for external auditors to verify your year-end numbers.

⚠️ Note: If your adjusted trial balance does not balance—where total debits do not equal total credits—you must pause and trace your entries. Often, this indicates a missing adjustment or a transposition error in the journal entries.

Key Adjustments That Shape the Trial Balance

To reach the Adjusted Trial Balance, accountants must record several types of adjusting entries. These entries generally fall into four primary categories:

Type of Adjustment Description Example
Deferred Revenue Cash received before services are performed. Unearned service revenue.
Deferred Expense Cash paid before the expense is incurred. Prepaid insurance or office supplies.
Accrued Revenue Revenue earned but not yet billed or collected. Interest earned on a bank account.
Accrued Expense Expenses incurred but not yet paid or recorded. Salaries payable or utility bills.

Steps to Prepare an Adjusted Trial Balance

Preparing this document requires a methodical approach. Follow these steps to ensure your books remain accurate:

  1. Generate the Unadjusted Trial Balance: Start by pulling the balances from your general ledger at the end of the accounting period.
  2. Identify Necessary Adjustments: Review internal records to find expenses or revenues that have not yet been recorded, such as depreciation, bad debt estimates, or unpaid interest.
  3. Journalize Adjusting Entries: Record these entries in the general journal to account for the changes identified in the previous step.
  4. Post to the General Ledger: Update the individual account balances based on the adjusting entries.
  5. Prepare the Adjusted Trial Balance: Compile the updated balances. Ensure that the total debits equal total credits.

Once you have confirmed that the columns balance, you are ready to transfer these figures to the financial statements. The Adjusted Trial Balance acts as the final gatekeeper, ensuring that your balance sheet, income statement, and statement of cash flows are built on a solid foundation of verified financial data.

💡 Note: Always cross-reference your adjusted figures with bank statements and source documents (like invoices or contracts) to ensure that the adjustments are supported by objective evidence.

Common Challenges in the Adjustment Process

While the process sounds straightforward, many businesses encounter hurdles. One of the most common issues is the timing of adjustments. If a business fails to record depreciation consistently, the Adjusted Trial Balance will show assets at an inflated value. Similarly, ignoring small accruals might seem trivial, but over several years, these missing amounts can significantly distort performance trends. Another challenge is manual data entry errors. As businesses grow, relying on manual entry increases the risk of calculation mistakes. Implementing accounting software that automates recurring adjusting entries can significantly reduce the potential for human error and streamline the month-end closing process.

Final Thoughts on the Closing Process

Mastering the Adjusted Trial Balance is more than just a task for accountants; it is a critical practice for maintaining the integrity of business operations. By consistently applying adjusting entries and verifying that every account balance is correct, organizations can produce financial statements that are accurate, reliable, and useful for stakeholders. This rigorous approach not only supports regulatory compliance but also builds confidence among investors, lenders, and internal managers who rely on these figures to steer the company toward long-term growth. When you treat the preparation of the trial balance as a vital component of your business cycle rather than a tedious chore, you unlock the ability to see the true financial health of your enterprise with clarity and precision.

Related Terms:

  • unadjusted trial balance
  • adjusted trial balance examples
  • adjusted trial balance template
  • adjusted trial balance sheet
  • adjusted trial balance definition
  • adjusted trial balance vs unadjusted