Uci

Aquablation Procedure

Aquablation Procedure

For millions of men worldwide, the symptoms of Benign Prostatic Hyperplasia (BPH) — a non-cancerous enlargement of the prostate gland — are a constant source of discomfort and disruption. Frequent nighttime awakenings, a weak urinary stream, and the persistent sensation of an incomplete bladder emptying can significantly diminish one's quality of life. While medications have long been the first line of defense, they often come with unwanted side effects or limited efficacy over time. In recent years, medical technology has made a monumental leap forward, introducing a revolutionary, robotic-assisted solution known as the Aquablation procedure. This minimally invasive treatment is changing the landscape of urological care, offering a unique blend of precision, safety, and long-term symptom relief.

Understanding the Aquablation Procedure

The Aquablation procedure represents a paradigm shift in how urologists approach prostate health. Unlike traditional surgical methods that rely on heat-based energy—such as lasers or electrical currents—to cut away excess prostate tissue, Aquablation utilizes the power of water. Specifically, it employs a heat-free waterjet, guided by advanced real-time imaging, to remove the obstructive tissue that restricts urine flow.

By using a robotic-assisted, image-guided system, the surgeon can map out the exact anatomy of the prostate before the procedure begins. This allows for a highly personalized treatment plan that targets only the problematic tissue, effectively sparing the healthy structures responsible for sexual and ejaculatory function. This precision is the hallmark of why many patients are now prioritizing this option over conventional surgeries like Transurethral Resection of the Prostate (TURP).

How the Process Works

The beauty of the Aquablation procedure lies in its seamless integration of technology and surgical expertise. The process typically follows a clear, structured path designed to maximize patient comfort and surgical success:

  • Advanced Imaging: The surgeon uses a cystoscope and ultrasound imaging to create a 3D map of the patient’s prostate gland.
  • Treatment Planning: Based on the 3D map, the surgeon identifies the precise boundaries for tissue removal, ensuring the areas controlling urinary and sexual function are protected.
  • Robotic Execution: Once the plan is set, the robot executes the waterjet ablation. The high-velocity, heat-free stream moves with calculated precision to remove the obstructive tissue.
  • Control and Completion: Following the removal of the tissue, a balloon catheter is placed to manage any minor bleeding and ensure optimal healing in the immediate postoperative period.

⚠️ Note: Because the Aquablation procedure is heat-free, it significantly lowers the risk of thermal tissue damage, which is a common concern with traditional laser-based prostate surgeries.

Comparing Treatment Options

When evaluating prostate treatment options, patients often look at a variety of factors, including recovery time, side effect profiles, and the risk of recurring symptoms. The following table highlights how modern techniques compare to traditional methods.

Feature Aquablation Procedure Traditional TURP Laser Ablation
Energy Source Waterjet (Heat-free) Electric Loop High-Intensity Laser
Precision Robotic-assisted/3D Imaging Manual Manual
Sexual Function Risk Lower Moderate/Higher Moderate
Prostate Size Limit Effective for all sizes Limited for large glands Variable

Benefits of Choosing Aquablation

The primary appeal of the Aquablation procedure is its ability to deliver superior functional outcomes. Many patients report a dramatic improvement in their urinary symptoms within weeks of the treatment. Beyond the clinical success, there are several distinct advantages that make it an attractive choice:

  • Personalization: Every prostate is unique in shape and size; the 3D-guided approach ensures the treatment is tailored to the individual.
  • Preservation of Quality of Life: By minimizing the risk of complications such as erectile dysfunction and retrograde ejaculation, patients can maintain their normal lifestyles more easily.
  • Rapid Recovery: While every patient’s healing process varies, the minimally invasive nature of the procedure generally leads to a shorter hospital stay compared to open or more invasive surgical options.
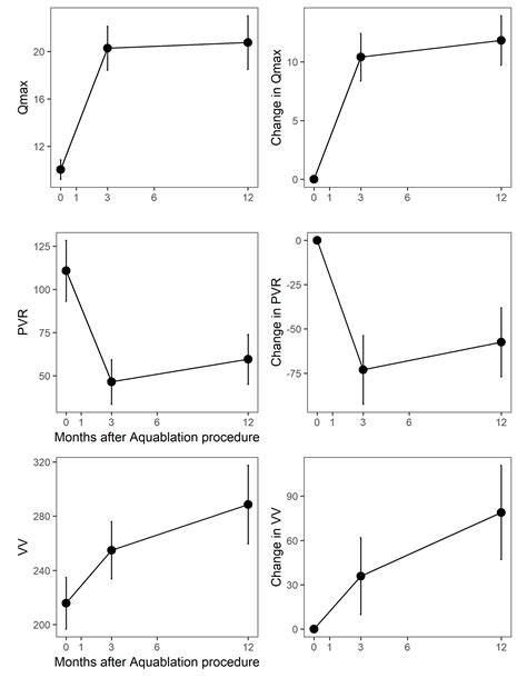
  • Durability: Studies have shown that the relief provided by this procedure is long-lasting, providing a sustainable solution for those who are tired of managing BPH symptoms with daily medication.

Am I a Candidate for the Procedure?

Not everyone with an enlarged prostate is an immediate candidate for every type of surgery. The Aquablation procedure is particularly well-suited for men who have tried medication without success or those who have prostate glands of various sizes that may be difficult to treat with standard techniques.

Determining your eligibility involves a consultation with a specialized urologist. During this visit, they will likely perform a physical exam, review your symptoms, and possibly conduct imaging studies to visualize your prostate anatomy. If you are experiencing persistent urinary urgency, frequent waking during the night (nocturia), or difficulty starting and stopping the stream, you should consult with a healthcare professional to see if this robotic technology is the right path forward for your specific case.

💡 Note: While the procedure is highly effective, it is essential to discuss your medical history, including any blood-thinning medications or underlying health conditions, with your surgeon before finalizing your treatment decision.

Final Thoughts on the Path to Relief

Addressing an enlarged prostate is about more than just managing symptoms; it is about reclaiming your confidence and daily comfort. The evolution of the Aquablation procedure marks a significant milestone in urology, offering a solution that prioritizes both efficacy and the long-term well-being of the patient. By leveraging advanced robotics and the natural power of water, doctors can now remove obstructions with unparalleled precision, reducing the anxiety often associated with surgical intervention. As technology continues to bridge the gap between invasive surgery and non-invasive relief, patients can look forward to a future where prostate health is managed with greater accuracy and faster recovery times. If you are struggling with the daily burden of BPH, exploring this modern, robotic-assisted option could be the essential step toward regaining your quality of life.

Related Terms:

  • aquablation procedure cpt code
  • aquablation procedure video
  • aquablation procedure recovery time
  • aquablation complaints
  • aquablation procedure cpt
  • aquablation procedure done near me