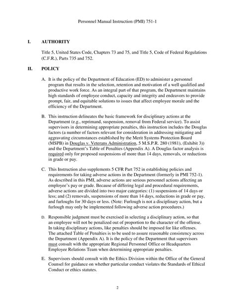
Blog

Censure Letter Example

Censure Letter Example

Navigating workplace conflicts or organizational misconduct requires a formal, structured approach to maintain professionalism and accountability. When an individual’s actions violate company policy, ethical standards, or behavioral codes, leadership may find it necessary to issue a formal reprimand. A censure letter example serves as a vital template for HR professionals and management to communicate these grievances clearly while upholding legal and procedural standards. This document acts as a permanent record of the issue, outlining the expectations for improvement and the potential consequences of further non-compliance.

Understanding the Purpose of a Censure Letter

At its core, a censure letter is a formal statement of disapproval. Unlike a casual verbal warning, this document is meant to be punitive and corrective. It signals to the recipient that their behavior has reached a threshold where the organization can no longer ignore it. Whether it is used in a corporate board meeting, a professional association, or a standard workplace environment, the letter serves three primary functions:

  • Documenting the infraction: It provides a clear, written account of exactly what rule or expectation was broken.
  • Establishing a paper trail: It ensures the organization has a defensible record should the employee need to be terminated or disciplined further.
  • Setting clear expectations: It defines what is required from the individual moving forward to rectify the situation.

By utilizing a professional censure letter example, leadership can ensure they are being objective and fair, reducing the likelihood of emotional outbursts or claims of bias during the disciplinary process.

Key Components of a Formal Censure Letter

A well-drafted censure letter must contain specific elements to be legally sound and effective. Ambiguity is the enemy of disciplinary action; therefore, every point must be articulated with precision. Before drafting, ensure you have gathered all relevant evidence, including emails, meeting logs, or witness reports that support your claim.

Component Description
Heading/Header Professional contact info for both sender and recipient.
Statement of Censure A clear, declarative sentence stating the letter is a formal censure.
The Evidence Specific dates, times, and descriptions of the behavior.
Impact Analysis How the behavior affected the team or organization.
Corrective Action Measurable steps the recipient must take.
Consequence Clause What will happen if the behavior persists.

⚠️ Note: Always consult with your legal department or HR specialist before issuing a formal censure to ensure it complies with local employment laws and company bylaws.

Drafting Your Censure Letter

When you start writing, maintain a tone that is firm but objective. Avoid overly emotional language, as this can make the organization appear retaliatory rather than corrective. Focus strictly on facts. When you look at a censure letter example, you will notice that successful letters avoid speculative statements like "I felt that you were disrespectful." Instead, they use observable facts like "On [Date], you spoke over your manager during the department meeting, which violated the company’s communication policy."

Step-by-Step Guide to Formalizing the Document

Follow these steps to ensure your document is prepared correctly:

  • Prepare the Facts: Organize the timeline of events. If there were prior verbal warnings, make sure to reference the dates of those discussions.
  • Choose the Right Tone: Stay professional, cool, and detached. Your goal is to document reality, not to vent frustration.
  • Be Explicit About Policy: State exactly which code of conduct, handbook section, or ethical guideline was violated.
  • Provide Room for Response: Depending on your company policy, you may want to include a brief statement allowing the recipient to acknowledge the receipt of the letter or provide their own comments.
  • Review and Finalize: Proofread the document for clarity. Ensure there are no spelling errors that might undermine the seriousness of the message.

If you are looking for a reliable censure letter example, you should look for templates that emphasize the consequences of the infraction. A document that lacks a consequence is merely an opinion; a document that outlines what comes next is a management tool.

💡 Note: Retain a signed copy of the letter in the employee’s permanent personnel file, and provide the recipient with their own copy for their records.

One of the most important reasons to use a structured format is protection against wrongful termination claims. If an employee challenges their status or a disciplinary action later, having a copy of the censure letter example you used as a baseline—which clearly documents the behavior and the formal notification—can be the deciding factor in legal proceedings. Courts and arbitrators place significant weight on documentation that shows the organization followed due process. By being specific, identifying the behavior, and providing clear instructions on how to correct the path, you are protecting the organization while upholding workplace culture.

Maintaining Professionalism During Delivery

The delivery of the censure letter is just as important as the content. This should be handled in a private, one-on-one meeting. Do not email the document as a first step; use the meeting to explain the contents of the letter, allow for questions, and clearly outline the next steps. This face-to-face interaction reduces the risk of misinterpretation and demonstrates that the leadership is committed to transparency and fair treatment.

Remember that the objective of issuing a censure is typically to modify behavior, not just to punish. While some offenses may warrant immediate termination, a censure often acts as the final "yellow card." If the employee values their position and understands the clear, written boundaries laid out in your censure letter example, they will have the opportunity to pivot their performance. For the organization, this creates a culture where expectations are clear and accountability is not just a concept, but a standard operating procedure.

Establishing a culture of excellence requires the courage to address misconduct head-on. By utilizing formal documentation, you ensure that disciplinary measures are consistent, fair, and effective. The process of drafting these letters clarifies the specific issues at hand, provides a clear roadmap for improvement for the individual, and shields the organization from liability. Whether you are dealing with minor policy infractions or significant ethical lapses, a well-prepared censure letter remains an indispensable tool for every manager. Consistency in how these matters are handled will ultimately foster a more professional and transparent environment for everyone involved, proving that the organization takes its values and operational standards seriously.

Related Terms:

  • letter of censure meaning
  • sample letter of censure
  • letter of censure definition
  • censure meaning in government
  • what does being censured mean
  • what does publicly censured mean