Study

Half Angle Identities

Half Angle Identities

Trigonometry is often viewed as a labyrinth of formulas, but among these, the Half Angle Identities stand out as remarkably elegant tools that bridge the gap between complex trigonometric expressions and manageable algebraic calculations. Whether you are an engineering student grappling with integration techniques or a high school student preparing for a calculus exam, understanding how to manipulate angles using these identities is a fundamental skill. By breaking down angles into their halves, mathematicians can simplify intricate problems, solve trigonometric equations that otherwise seem unsolvable, and evaluate exact values for angles that are not part of the standard unit circle.

Understanding the Essence of Half Angle Identities

At their core, Half Angle Identities are derived directly from the power-reduction formulas, which in turn stem from the classic double-angle identities. These identities provide a mathematical bridge that allows us to express trigonometric functions of an angle (θ/2) in terms of the trigonometric functions of the original angle (θ). This relationship is particularly useful when you need to calculate values like the sine or cosine of 15 degrees, which is exactly half of the well-known 30-degree angle.

The beauty of these identities lies in their versatility. They allow us to:

  • Evaluate trigonometric functions for angles that are multiples of 22.5° or 15°.
  • Simplify complex integral expressions in calculus.
  • Solve trigonometric equations where the variable is presented as a fraction.
  • Transform expressions to make them easier to differentiate or integrate.

The Standard Mathematical Formulas

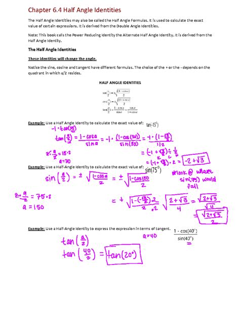
To master these identities, one must memorize the foundational expressions. Because these formulas involve square roots, the sign—either positive or negative—is determined by the quadrant in which the angle θ/2 resides. This is a critical detail that often leads to errors if overlooked.

Function Identity Formula
Sine sin(θ/2) = ±√[(1 - cosθ) / 2]
Cosine cos(θ/2) = ±√[(1 + cosθ) / 2]
Tangent tan(θ/2) = ±√[(1 - cosθ) / (1 + cosθ)]
Tangent (Alternative) tan(θ/2) = (1 - cosθ) / sinθ
Tangent (Alternative) tan(θ/2) = sinθ / (1 + cosθ)

⚠️ Note: The sign (±) is not arbitrary. You must identify the quadrant of θ/2. For instance, if θ/2 falls in the second quadrant, the sine value will be positive, while cosine and tangent will be negative.

Step-by-Step Application of the Identities

Applying Half Angle Identities effectively requires a systematic approach. If you are tasked with finding the exact value of a trigonometric function for a specific angle, follow these logical steps:

  1. Identify the target angle: Determine the angle α for which you need to find the value.
  2. Express as a half-angle: Rewrite α as θ/2. This means θ will be .
  3. Determine the quadrant: Check where α lies on the coordinate plane to decide whether your final result should be positive or negative.
  4. Select the formula: Choose the appropriate formula based on whether you are solving for sine, cosine, or tangent.
  5. Substitute and simplify: Plug the value of θ into the identity and simplify the radical expression.

Solving Practical Problems

Let’s consider a practical application: finding the exact value of sin(15°). Since 15° is half of 30°, we can set θ = 30°. Using the formula sin(θ/2) = √[(1 - cosθ) / 2], we substitute 30° for θ.

We know that cos(30°) = √3 / 2. Plugging this in, we get √[(1 - √3/2) / 2]. After performing the arithmetic, we arrive at the exact value. This demonstrates why these identities are so powerful; they bypass the need for approximations and calculators, providing absolute precision.

Common Pitfalls and How to Avoid Them

Students frequently struggle with the sign convention. A common mistake is to base the sign on the original angle θ rather than the half-angle θ/2. Always visualize the unit circle. If your final angle is 120°, look at the second quadrant properties before assigning the positive or negative sign.

Another common issue involves the tangent identities. There are three common versions of the tangent half-angle formula. Depending on the values provided in your problem, one version might lead to a much simpler calculation than the others. Familiarizing yourself with all three variants is a key strategy for efficiency.

💡 Note: In cases where the denominator becomes zero, utilize the alternative versions of the tangent identity to avoid undefined expressions.

Integrating Identities into Higher Mathematics

In calculus, particularly when dealing with integrals of rational functions of sine and cosine, the Weierstrass substitution is a game-changer. This technique uses the tangent half-angle substitution, often denoted as t = tan(θ/2). By converting trigonometric integrals into algebraic rational functions, this method allows mathematicians to solve problems that would be nearly impossible using basic integration rules.

This application highlights that these identities are not just classroom exercises but are robust tools used in mechanical engineering, physics, and advanced signal processing. Understanding how to transition between trigonometric forms is essentially the ability to translate complex wave-based problems into linear algebraic problems.

Final Thoughts

Mastering the Half Angle Identities is essentially about recognizing patterns and maintaining discipline with sign conventions. By viewing these formulas as flexible tools rather than rigid, static equations, you can deconstruct complex trigonometric challenges into simpler, solvable parts. Whether you are evaluating exact values or navigating the complexities of integral calculus, these identities provide the clarity and precision needed for success in higher mathematics. Practice these formulas regularly, keep the sign rules in mind, and you will find that even the most daunting trigonometric equations become significantly more approachable.

Related Terms:

  • sin squared identity
  • double angle formula
  • angle identities
  • half angle identities cos 2x
  • double angle trig identities
  • half angle formula