Study

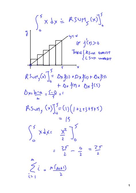
Left Riemann Sum

Left Riemann Sum

Calculus is often perceived as a daunting subject, but at its heart, it is built upon simple, intuitive concepts that bridge the gap between geometry and algebra. One of the fundamental building blocks of integral calculus is the process of approximating the area under a curve. When we talk about finding this area, we frequently turn to Riemann sums. Specifically, the Left Riemann Sum stands out as one of the most straightforward and effective techniques for beginners to grasp how we transition from basic shapes to the complexity of definite integrals.

Understanding the Concept of Riemann Sums

Before diving into the mechanics of the Left Riemann Sum, it is helpful to understand the philosophy behind it. If you have a function plotted on a coordinate plane, finding the exact area under the curve can be difficult if the shape is irregular. Calculus allows us to solve this by dividing that area into smaller, manageable rectangles. The height of each rectangle is determined by the function value, and the width is determined by the interval size.

A Riemann sum is essentially the sum of the areas of these rectangles. Depending on which point of the interval we choose to calculate the height, we get different types of sums:

  • Left Riemann Sum: Uses the leftmost endpoint of each sub-interval to determine the height.
  • Right Riemann Sum: Uses the rightmost endpoint of each sub-interval.
  • Midpoint Riemann Sum: Uses the center point of each sub-interval.

By using these rectangles, we can approximate the area under the curve. As we increase the number of rectangles, the approximation becomes increasingly accurate, eventually converging to the true value of the integral.

How the Left Riemann Sum Works

The Left Riemann Sum is defined by the selection of the left endpoint of each sub-interval. If you are integrating a function f(x) from a to b, you first divide the interval [a, b] into n sub-intervals of equal width. The width, denoted as Δx, is calculated by the formula: Δx = (b - a) / n.

For a Left Riemann Sum, the height of each rectangle is evaluated at the start of the interval. If your intervals are [x0, x1], [x1, x2], ..., [xn-1, xn], the sum is calculated as:

Ln = Δx [f(x0) + f(x1) + ... + f(xn-1)]

This method is highly visual. Because we are using the left side to determine height, the rectangles will either be entirely contained within the curve (if the function is increasing) or extend beyond it (if the function is decreasing), which helps us understand whether our approximation is an underestimation or an overestimation.

Step-by-Step Implementation

To master this technique, follow these logical steps:

  1. Define your interval and function: Identify the start (a) and end (b) points, and the function f(x).
  2. Determine the number of sub-intervals (n): Decide how many rectangles you want to use. More rectangles usually lead to better precision.
  3. Calculate the width (Δx): Use the formula Δx = (b - a) / n.
  4. Identify the left endpoints: List the values x0, x1, ..., xn-1.
  5. Evaluate the function: Plug these values into f(x) to find the heights.
  6. Sum and Multiply: Add the heights together and multiply by Δx.

💡 Note: Always double-check your calculation of Δx, as a mistake here will propagate through your entire sum and lead to an inaccurate final approximation.

Comparison Table of Approximation Methods

The table below highlights how different Riemann sum strategies vary based on the interval selection process for a hypothetical function.

Method Endpoint Selection Best For
Left Riemann Sum xi-1 (Left side) Quick manual calculations
Right Riemann Sum xi (Right side) Functions with clear directional trends
Midpoint Sum (xi-1 + xi) / 2 Increased accuracy with fewer steps

Why Accuracy Matters

One of the primary questions students ask is why we would use a Left Riemann Sum if it isn't perfectly accurate. The beauty of this method lies in the limit. As n (the number of rectangles) approaches infinity, the width of each rectangle approaches zero. When Δx becomes infinitesimally small, the sum of the areas of these infinitely thin rectangles becomes the exact integral of the function.

Therefore, while the Left Riemann Sum might yield a slightly off result for a small number of rectangles, it serves as the essential mathematical bridge to understanding the Fundamental Theorem of Calculus. It teaches us that complex problems can be solved by breaking them down into simpler, smaller parts that are easy to compute, and then reuniting those parts through summation.

Common Challenges and Tips

When working with these sums, errors often occur in the indexing of the endpoints. Remember that for an interval [a, b] divided into n parts, the Left Riemann Sum uses the very first point (a) but never reaches the final point (b). Conversely, a Right Riemann Sum would use the final point (b) but never use the first point (a).

  • If the function is monotonically increasing, the Left Riemann Sum will always result in an underestimation.
  • If the function is monotonically decreasing, the Left Riemann Sum will always result in an overestimation.
  • Always draw a quick sketch of the graph to visualize whether your rectangles sit inside or outside the curve.

💡 Note: When dealing with very large values of n, manual calculation becomes impractical. At that stage, utilizing a summation formula or a simple computational script is recommended to avoid arithmetic fatigue.

Final Thoughts on Riemann Approximations

Mastering the Left Riemann Sum provides a foundational layer of understanding for anyone embarking on a study of calculus. By learning to decompose the area under a curve into rectangles, you gain a concrete mental model that demystifies the more abstract concept of the definite integral. While technology can now perform these calculations in milliseconds, the ability to manually perform a Left Riemann Sum remains a rite of passage that develops mathematical intuition and prepares students for more complex topics like sequences, series, and differential equations. As you continue your mathematical journey, remember that even the most complex curves can be managed through the simple, consistent application of basic geometric summation.

Related Terms:

  • left riemann sum notation
  • middle riemann sum
  • midpoint riemann sum
  • left riemann sum vs right
  • left riemann sum desmos
  • left riemann sum using table