Study

Molar Mass Of Aspirin

Molar Mass Of Aspirin

Aspirin, known scientifically as acetylsalicylic acid, is perhaps one of the most recognized pharmaceutical compounds in human history. Whether you are a chemistry student performing a titration in a laboratory or someone simply curious about the composition of your medicine cabinet staples, understanding the molecular foundations of this drug is essential. At the heart of chemical calculations involving this compound is the molar mass of aspirin, a fundamental value that allows scientists to convert between grams and moles accurately. By breaking down its chemical formula—C₉H₈O₄—we can derive the precise weight of a single mole of this substance, which is critical for everything from dosage formulation to reaction yield analysis.

Understanding the Chemical Structure of Aspirin

To determine the molar mass of aspirin, we must first look at its chemical identity. Aspirin is an ester derivative of salicylic acid. Its molecular formula, C₉H₈O₄, tells us exactly how many atoms of each element are present in one single molecule. This formula is the roadmap for our calculation, as the atomic mass of each element is standard across the periodic table.

The molecule consists of the following components:

  • 9 Carbon (C) atoms: Providing the backbone of the organic structure.
  • 8 Hydrogen (H) atoms: Distributed throughout the molecule to satisfy valence requirements.
  • 4 Oxygen (O) atoms: Found in the carboxylic acid group and the ester group.

When calculating the molar mass, we sum the atomic weights of these individual atoms. Since atomic weights are generally expressed in grams per mole (g/mol), the resulting figure represents the mass of 6.022 × 10²³ molecules of aspirin.

Calculating the Molar Mass of Aspirin

The calculation of the molar mass of aspirin is a classic exercise in stoichiometry. To find this value, we multiply the atomic mass of each element by the number of atoms present in the formula and then aggregate those values. Using the atomic weights rounded to standard values (Carbon ≈ 12.01 g/mol, Hydrogen ≈ 1.008 g/mol, Oxygen ≈ 16.00 g/mol), we can compute the total.

Element Number of Atoms Atomic Mass (g/mol) Subtotal (g/mol)
Carbon 9 12.01 108.09
Hydrogen 8 1.008 8.064
Oxygen 4 16.00 64.00
Total - - 180.154 g/mol

⚠️ Note: While the value of 180.154 g/mol is commonly used in academic settings, minor variations may occur depending on the precision of the periodic table used for the atomic weights of the individual elements.

Why Is Molar Mass Important in Pharmaceutical Chemistry?

The molar mass of aspirin is not just a theoretical number; it is a vital tool for practical application. In pharmaceutical manufacturing, precision is paramount. Knowing the molar mass allows chemists to prepare solutions with specific molarities. If you need to prepare a solution for experimental testing, you must know how many grams of powder correspond to a specific number of moles. Without this calculation, it would be impossible to conduct accurate stability studies or bioequivalence testing.

Furthermore, this value is used in laboratory settings to calculate the theoretical yield of a chemical reaction. During the synthesis of aspirin from salicylic acid and acetic anhydride, students use the molar mass to determine the limiting reagent. By comparing the actual mass of the product obtained after filtration and drying to the theoretical yield, chemists can calculate the percentage yield, which indicates the efficiency of the synthesis process.

Factors Influencing Calculation Accuracy

When conducting experiments, you might notice that your measured yield is rarely exactly 100% of the theoretical value. This discrepancy is often due to experimental variables rather than a misunderstanding of the molar mass of aspirin. Some common factors include:

  • Purity of reagents: If your starting materials contain impurities, the mass calculation will be skewed.
  • Incomplete reaction: The conversion of salicylic acid to aspirin might not reach 100% completion.
  • Loss during recovery: During the recrystallization or vacuum filtration process, some amount of the substance is often lost to the filter paper or the mother liquor.
  • Moisture content: Even a small amount of residual water left after the drying phase will increase the total weight, leading to an artificially high yield calculation.

💡 Note: Always ensure your samples are completely dry in a desiccator before weighing them for yield calculations to ensure that your results align with the theoretical mass.

Applications Beyond the Lab

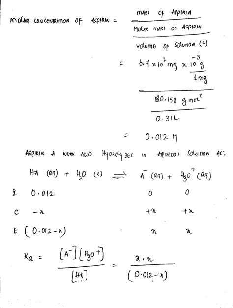
Understanding the molecular weight of compounds like aspirin has implications that reach into the medical field. Pharmacokinetics—the study of how a drug moves through the body—often relies on concentrations expressed in molarity. When researchers analyze how aspirin is absorbed, distributed, and metabolized, they convert the administered dose (measured in milligrams) into molar concentrations. This allows for standardized comparisons across different patients and formulations.

The molar mass of aspirin (approximately 180.16 g/mol) serves as a bridge between the macroscopic world of tablets and the microscopic world of molecules. By utilizing this constant, scientists can design better delivery systems, such as enteric-coated tablets that protect the stomach lining while ensuring the drug is released at the optimal site in the small intestine.

By mastering the calculation and application of the molar mass of aspirin, one gains a deeper appreciation for the rigor involved in modern medicine. Whether it is through the precise arithmetic of stoichiometry or the complex demands of industrial drug manufacturing, this simple value of 180.16 g/mol remains a cornerstone of chemical science. We have examined how the atomic components of carbon, hydrogen, and oxygen combine to form this essential pharmaceutical agent, and we have seen how this knowledge empowers chemists to calculate yields, prepare solutions, and understand the fundamental properties of the medicine. As we continue to refine pharmaceutical delivery and synthesis techniques, these basic molar relationships remain the stable bedrock upon which higher-level chemical innovations are built.

Related Terms:

  • moles of aspirin
  • aspirin chemical formula
  • molar mass of c9h8o4
  • molecular weight of aspirin
  • molar mass of aspirin tablet
  • boiling point of aspirin