Ghc

Stress Test Results

Stress Test Results

Receiving your stress test results can be a pivotal moment in managing your cardiovascular health. Often referred to as an exercise electrocardiogram (ECG) or a treadmill test, this diagnostic procedure is designed to reveal how your heart performs under physical exertion. By monitoring your heart rate, blood pressure, and electrical activity while you walk on a treadmill or ride a stationary bike, doctors can identify potential issues that might not be visible while you are resting. Understanding these findings is essential for taking proactive steps toward heart health, whether the news is positive or indicates the need for further investigation.

Understanding the Purpose of a Cardiac Stress Test

A doctor reviewing cardiac test results with a patient

The primary goal of a stress test is to determine if your heart receives enough blood flow during times of high demand. When you exercise, your heart beats faster and works harder, requiring more oxygenated blood. If the arteries supplying your heart are narrowed or blocked—a condition often associated with coronary artery disease—the stress test will likely uncover this limitation.

Physicians typically order these tests for several compelling reasons:

  • To diagnose the cause of chest pain or shortness of breath.
  • To evaluate the effectiveness of current heart treatments or medications.
  • To assess heart rhythm abnormalities that occur during physical activity.
  • To prepare for surgery or an intense exercise program, especially if you have existing risk factors.

How to Interpret Stress Test Results

When you sit down with your healthcare provider to discuss your stress test results, they will categorize the outcome as either normal, abnormal, or inconclusive. It is crucial to remember that these results are not a standalone diagnosis but rather one piece of a larger clinical puzzle.

Classification What It Typically Means
Normal The heart responded appropriately to increased demand without signs of reduced blood flow or dangerous rhythm changes.
Abnormal The test showed signs of potential heart disease, such as ECG changes or abnormal blood pressure spikes during exercise.
Inconclusive The test could not provide a clear picture, perhaps because the target heart rate wasn't reached or the ECG readings were difficult to interpret.

⚠️ Note: An abnormal result does not automatically mean you are having a heart attack; it often indicates that further diagnostic testing, such as an echocardiogram or cardiac catheterization, may be required to get a definitive answer.

What Happens During the Testing Process

Preparation is key to ensuring your stress test results are as accurate as possible. You will typically be asked to avoid caffeine, tobacco, and certain medications for a specific period before the test, as these substances can interfere with your heart rate readings. During the procedure:

  • Monitoring: Electrodes are placed on your chest, arms, and legs to record electrical signals.
  • Incremental Difficulty: You begin walking or cycling slowly. The intensity increases at set intervals, mimicking the effort of climbing hills or faster movement.
  • Continuous Observation: A medical professional supervises the entire session, watching for symptoms like dizziness, chest pain, or extreme fatigue.
  • Recovery: Once you stop, you remain monitored for several minutes as your heart rate returns to its resting state.

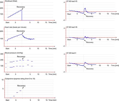
Common Indicators Found in Reports

Your report will contain specific data points that help your doctor assess your risk. Key metrics include:

  • ST-Segment Changes: Specific patterns on an ECG trace that can suggest poor blood flow to the heart muscle.
  • Heart Rate Recovery: How quickly your heart rate drops after stopping exercise; a slow recovery can be a marker of poor cardiovascular health.
  • Exercise Capacity: The amount of metabolic equivalent (METs) you achieved. Higher capacity generally correlates with a healthier heart.

💡 Note: Always provide a full list of your current medications to your doctor before the test. Some beta-blockers or blood pressure medications can intentionally lower your heart rate, which could lead to an "inconclusive" result if not accounted for by the medical staff.

Next Steps After Receiving Your Results

Once you have the stress test results in hand, the next phase is formulating a management plan. If the results are normal, your doctor may suggest continuing your current lifestyle or making minor heart-healthy adjustments. If they are abnormal, the conversation often shifts toward intervention.

Potential follow-up actions may include:

  • Lifestyle Modifications: Adopting a Mediterranean diet, increasing physical activity, and smoking cessation.
  • Medication Adjustment: Prescribing statins to manage cholesterol or antihypertensives to control blood pressure.
  • Advanced Imaging: Ordering a nuclear stress test or a coronary CT angiogram to get a high-definition view of the coronary arteries.
  • Referral to a Specialist: Meeting with a cardiologist to discuss surgical options or more specialized procedures like stents.

Your experience with a stress test should be viewed as a proactive effort to safeguard your long-term health. While the idea of medical testing can cause anxiety, the information gleaned from these results is invaluable. By identifying early warning signs, you provide your medical team with the opportunity to implement preventative strategies before a minor issue becomes a major cardiac event. Whether your test indicates a need for lifestyle changes or a shift in medication, remember that every finding serves as a guidepost for improving your heart health journey. Stay in close communication with your healthcare provider to ensure you fully understand your specific report and feel confident in the steps you are taking to keep your heart strong.

Related Terms:

  • bank stress test results
  • stress test normal range
  • normal stress test results chart
  • fed stress test results
  • stress test results examples
  • stress test results chart age