Uci

Sub Lease

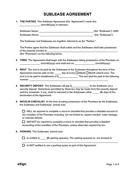
Sub Lease

Navigating the world of rental properties can be a complex endeavor, especially when your personal circumstances change unexpectedly. Whether you are a tenant looking to move out before your lease ends or a property owner dealing with a vacant unit, understanding the mechanics of a Sub Lease is essential. A sub lease, often referred to as subletting, occurs when an existing tenant rents out all or part of their leased property to a third party. This arrangement creates a secondary contract while the original lease agreement remains strictly between the landlord and the primary tenant. Mastering this process is key to protecting your financial interests and maintaining legal compliance.

Understanding the Basics of a Sub Lease

At its core, a Sub Lease involves three distinct parties: the landlord, the original tenant (the sublessor), and the new occupant (the sublessee). Unlike an assignment, where the lease is transferred entirely to a new person, subletting keeps the original tenant on the hook for the duration of the agreement. This means that if the sublessee fails to pay rent or causes damage to the property, the original tenant remains legally and financially responsible to the landlord.

Before proceeding, it is vital to review your current lease agreement. Many standard contracts contain specific clauses regarding subletting. Some landlords may explicitly prohibit it, while others may require written consent or a formal application process. Ignoring these stipulations can lead to eviction or legal repercussions, making due diligence the most critical first step in the process.

⚠️ Note: Always obtain written permission from your landlord before advertising your space. Verbal agreements are notoriously difficult to enforce if a dispute arises regarding your sub lease arrangement.

Why Consider a Sub Lease?

There are several compelling reasons why tenants and landlords might opt for this arrangement. For the tenant, life events such as job relocations, study abroad programs, or unexpected financial hardship often necessitate an early departure. Instead of breaking a lease—which can be incredibly costly—a sub lease offers a practical bridge to cover remaining rent obligations.

For landlords, the benefits are equally clear. Maintaining a high occupancy rate is essential for property profitability. A sub lease ensures that the unit remains occupied and that rent continues to flow, even if the primary tenant is unavailable. It effectively mitigates the risk of a vacancy and the associated costs of cleaning, advertising, and finding a new long-term tenant.

Comparison of Rental Transitions

Understanding the different types of rental changes will help you decide if a sub lease is the right move for your situation. The table below outlines the primary differences between common rental transitions.

Feature Sub Lease Lease Assignment Lease Break
Primary Responsibility Original Tenant New Tenant None (Agreement Ends)
Landlord Involvement Required Required Required
Complexity Moderate Low High (Fees)

Steps to Execute a Successful Sub Lease

Executing a sub lease requires careful planning to protect everyone involved. Follow these steps to ensure a smooth transition:

  • Review the Lease: Confirm if subletting is allowed and identify any specific conditions or limitations set by the property owner.
  • Screen Potential Sublessees: You should vet the prospective occupant just as thoroughly as a landlord would. Check references, verify income, and conduct a background check if possible.
  • Prepare a Written Agreement: Never rely on a handshake. Draft a formal sub lease agreement that clearly defines rent amounts, utilities, security deposit handling, and the duration of the sublet.
  • Document Property Condition: Perform a walk-through inspection and take dated photos of the unit before the sublessee moves in. This protects both parties if disputes regarding damages occur later.
  • Finalize the Logistics: Ensure the sublessee understands house rules, parking regulations, and how to contact the landlord or management for maintenance emergencies.

💡 Note: Ensure your sub lease agreement explicitly states that the sublessee must comply with all rules and regulations outlined in the master lease agreement between you and the landlord.

Common Pitfalls and How to Avoid Them

One of the most frequent mistakes made during a sub lease is the improper handling of the security deposit. Often, the sublessee pays the deposit to the original tenant. If the original tenant leaves the state, the sublessee may struggle to recover their funds if there is a disagreement over property condition. It is often safer to have the sublessee pay the landlord directly or use an escrow-style arrangement.

Another pitfall is "hidden subletting." Attempting to host a sublessee without the landlord's knowledge is a breach of contract that rarely ends well. Modern landlords often use building surveillance or routine inspections that will quickly reveal an unauthorized occupant. Transparency is your greatest asset in maintaining a healthy relationship with your landlord.

Final Considerations

The decision to enter into a sub lease is a significant commitment that balances flexibility with legal responsibility. By approaching the situation with transparency, thorough documentation, and clear communication, both tenants and property owners can find a mutually beneficial solution. Always prioritize a well-drafted contract that outlines the specific responsibilities of the sublessee, ensuring that your financial liabilities are protected throughout the remainder of your original lease term. When conducted correctly, this arrangement acts as a safeguard that allows you to manage life’s unexpected transitions while maintaining your reputation as a reliable and professional tenant.

Related Terms:

  • sublease agreement pdf
  • sublease agreement
  • subleasing meaning
  • definition of sublease
  • sublease form
  • sublease template