“Deep learning - Probability & distribution.”
Blog

“Deep learning - Probability & distribution.”

1124 × 1074 px January 30, 2025 Peter Blog

“Deep learning - Probability & distribution.” is a high-quality image in the Blog collection, available at 1124 × 1074 pixels resolution — ideal for both digital and print use.

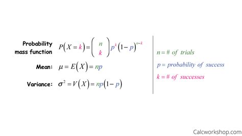
Master the variance of binomial distribution with this clear guide. Learn the essential formula, step-by-step calculations, and how to apply probability theory to solve discrete random variable problems. Understand how trial numbers and success probabilities influence statistical spread to improve your data analysis and master core concepts in probability and statistics today.

Image Details

Title“Deep learning - Probability & distribution.”
Dimensions1124 × 1074 px
CategoryBlog
PublishedJanuary 30, 2025
AuthorZeus
Downloads29
Views1,084

Read full article: Variance Of Binomial Distribution

// More Images